发布时间:2025-12-25 阅读:362
众所周知,光通过两个折射率不同的空间界面时会发生反射和折射。近年来,这种空间界面在时间维度上的对应,即时间界面,引起了广泛研究兴趣。当一个均匀介质在时间轴上发生折射率突变时,光同样会产生类似的反射和折射现象。目前关于时间界面的相关工作主要通过快速调制系统参数来实现时间界面,其中的动力学如反射和折射、频率移动等已经被观测到。但是对于整个能带范围内,不同的能带操作,如能带折叠、展开,以及二维时间界面的动量守恒尚未被严格实验证实。此外,时间界面的实现通常需要系统参数变化速率远快于波自身的动态变化,实现光频波段的时间界面上存在巨大挑战。因此,构建一种不依赖于快速调制就能实现的时间界面具有重要意义。
为了验证时间界面在整个能带范围内的动量守恒,研究团队开发了一种能谱层析方法。如图1(C)所示,通过对比整个能带范围,相应的波函数在时间界面后的质心分布C(E_s)和对应于能量E_s处能带E_1的两个群速度之和v=v_a+v_b可以得到整个能带上所有的本征态的投影关系,进而验证时间界面处的动量守恒。
.jpg)
图1:合成频率维度中构造时间界面及通过能谱层析法验证动量守恒的示意图
研究团队利用合成频率维度平台来实验证实这一构想,实验光路如图1(E)所示。一个中心频率为w_0的单频率连续可调的激光首先通过一个电光调制器EOM1,其相当于波函数在哈密顿量H_1的作用下在频率空间经历了一个时间演化过程t_1;调制的光场进入一个具有电光调制器EOM2的谐振环,EOM2将光场进行重新调制,相当于波函数在哈密顿量H_2作用下继续进行时间演化,由此在合成频率空间构造出了时间界面。
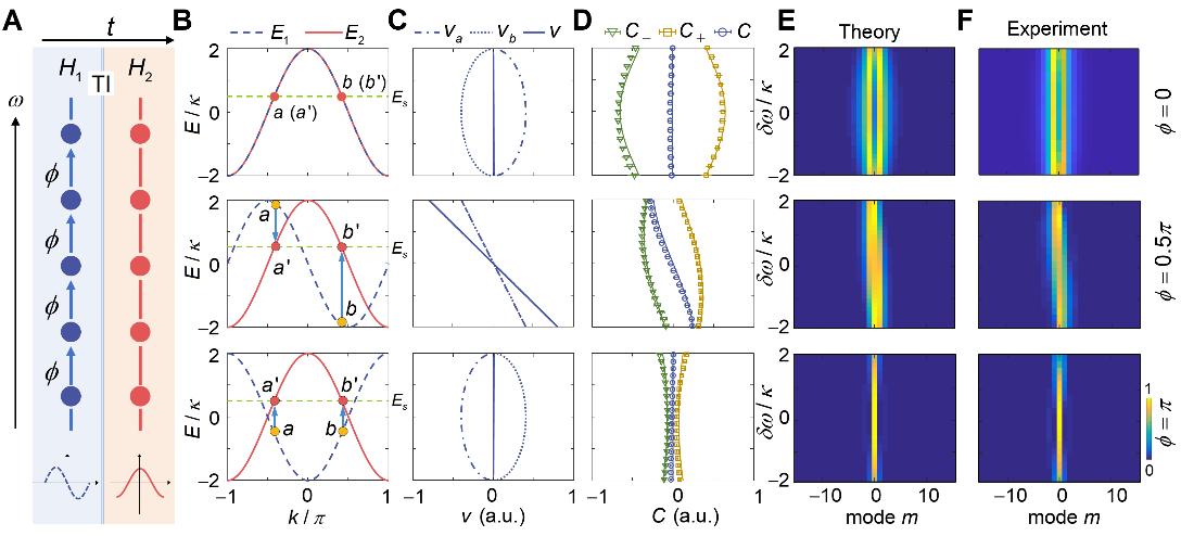
研究团队首先验证能带平移构造的时间界面中的动量守恒,如图2所示,时间界面之前和之后两个晶格之间具有相同的周期,但相邻格点之间的耦合之间存在一个相位差ϕ,相当于能带在动量空间中存在一个平移。当相位差为0的时候,两个晶格完全相同,因此不存在时间界面。整个能带范围内满足v=v_a+v_b=0,对应测到的波函数质心C=0。而当相位差为0.5pi的时候,两个能带E_1(k)和E_2(k)之间存在一个平移,因此不同E_s处对应的两个群速度之和不为0,证明此时存在时间界面。测量得到的整个能带范围内的波函数质心C真比于v,因此证明了能带平移构造的时间界面中整个能带范围内的动量守恒。研究团队进一步通过能带展开和折叠实现了多种时间界面,验证了一维系统中时间界面处的动量守恒。
.jpg)
图2:合成频率空间中一维能带平移过程中的时间界面动量守恒观测
研究团队进一步将时间界面拓展到高维,通过在电光调制器中引入近邻和长程耦合方法,将一维的频率晶格折叠成二维,实现了一个二维的时间界面,并证明了二维能带平移时间界面过程中的动量守恒。
该工作首次实现了一维能带平移、折叠、展开的时间界面,及二维时间界面,对时间界面中的动量守恒进行直接实验验证。不同于之前的实验研究,该光学系统中的时间界面的构造不需要依赖于快速调制。这是由于时间演化发生在频率空间,当没有调制时候,时间就是“静止”的,只有在光场被调制时候时间演化才能进一步发生。该工作提供了一种在光频波段实现时间界面的平台,为之后基于时间界面的拓扑、非厄米、非阿贝尔等相关物理研究奠定了基础。
该成果发表在“Yanyan He, Zhaohui Dong, Guangzhen Li, Penghong Yu, Xiaoxiong Wu, Xianfeng Chen, and Luqi Yuan. Observing momentum conservation at temporal interfaces in synthetic frequency Dimension. Sci. Adv. 11, eadz5445 (2025)”。
论文链接:https://www.science.org/doi/full/10.1126/sciadv.adz5445